January 23rd is designated National Pie Day. I don't know why we need one, since pie is universally accepted as the perfect food, but at the very least, it provides an opportunity to learn all about pie: history, physics, and weaponization. Some of this may even be correct.
THE HISTORY OF PIE
As shown below on the timeline, pie can be traced back to Egyptian times, where it did not look like Mrs. Smith's (or Mrs. Smith either). The thing was reportedly made of rough barley dough, fig paste, goat fat, and optimism.
If this sounds vile, innovation next reared its head near the end of the Roman Empire as placenta pie. [1] Delicious and wholesome! It is not known whether the inclusion of said placenta contributed to the downfall of the empire. History books scrupulously avoid the details.
Pie technology experienced a millennium-scale lull in crust R&D innovation during the Dark Ages, possibly because there wasn’t enough light to see any new baked goods. Although the Pie Revival technically can be traced to 19th-century Britain, it emerged in the form of kidney pie—hardly an improvement over placenta pies.
The New Age of piedom can be attributed to the first moving pictures in the 1920s, where Laurel and Hardy and Charlie Chaplin threw them into people's faces, as sophisticated then as it is now. Pie-based weaponry reached its golden pinnacle when The Three Stooges, a precursor to today's CDC, mastered the art of pie-to-face contact. (Watch them on YouTube; it remains oddly funny.) And it would be wrong to omit Bugs Bunny, even though the world is polarized about whether he was human.

Message to historians who might have the temerity to challenge the factual integrity of this tome: Let them eat pie.
The Weaponization of Pie
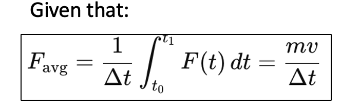
Although the Stooges and Bugs mastered the offensive use of pie, none of them possessed the technology with which to assess the efficacy of various desserts as a weapon. There are more subtle forces at work. This problem has now been solved. The relevant math is hideous, but mercifully brief.
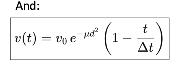
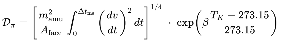
We can calculate D∏, the pie damage coefficient as follows:


It follows that:

Where:

Conclusion: This s### looks exactly like the hell I was put through in quantum mechanics. Of course, it's total nonsense. Just like quantum mechanics. How I passed that course remains one of life's great unsolved mysteries.
Which pies hurt the most?
"All men are created equal” may hold true as a political ideal in the Declaration of Independence, but all pies are definitely not created equal. Appearance, taste, calories, price, and other variables distinguish one pie from another. But, keeping with the theme of belligerence, I must report that not all pies feel the same when propelled into your face. Some examples include...
- Key lime pie - Delicious when covered with acid-neutralizing whipped cream. Otherwise, not so much. Why? To say that it’s tart—aka, acidic—is a grievous understatement. Want proof? Next time your battery runs out of acid, stuff a slice in there. Next thing you know, your car is running like a Rolls-Royce. Silver Shadow.
- Pecan pie - A double threat. Not only does the damn thing weigh as much as a Buick, but on impact, the pecans act as shrapnel. Pecan-Initiated Eyebrow Separation (PIES) is well documented in the ophthalmological literature.
- Blueberry pie - Delicious, but contains a turd-load of anthocyanins, the same chemical dyes that give some leaves their reddish-purple color in the fall. They also give your wife's new white couch a permanent purple stain that no entity in this galaxy can remove. The same goes for your clothing, which, unless you're a Blue Jays fan, will ruin an entire wardrobe once it is flung with fury at the perpetrator. You, the man, are the perpetrator. Always.
- Pumpkin pie - Just as concussion protocols are now standard in hockey and football, the same should hold true for pumpkin pies. While the dreaded pecan pie does extra damage as a result of its bulk and flying objects, the pumpkin pie can do the same, but without the pecans. It is that immense. Bakeries have conducted secret tests in which a pumpkin pie swinging from a pendulum can demolish a three-story building. In Manhattan, where they seem to collapse nightly, make that a six-story building.
Conclusion
In summary, the best pie is still pie. But the worst pie can vary; the worst is the one traveling at 17 miles per hour. I know this firsthand.
NOTE
[1] Placenta pie did not contain placenta. Latin: placenta = a kind of flat cake / layered pastry
