Grapefruit juice has long been known to interfere with certain medications. For some, this might sound like quirky nutrition trivia. But in the world of pharmacology, it’s a perfect illustration of how enzyme inhibition and drug metabolism significantly alter the behavior of drugs, even ones that are remarkably similar in chemical structure.
Here's a great example: grapefruit juice extends the effects of oxycodone but not hydrocodone, even though they’re chemically and pharmacologically related. The reason lies not only in which enzymes metabolize them, but in how tightly they bind, how efficiently they’re processed, and where those enzymes are located.
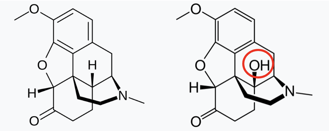
Figure 1. Hydrocodone (left) and oxycodone differ only by one hydroxyl group (red circle).
Grapefruit: Innocent Fruit or Enzyme Assassin?
Grapefruit (and certain citrus cousins) contain compounds called furanocoumarins, something I've written about recently. These compounds inhibit a crucial metabolizing enzyme, CYP3A4, which is found in both the liver and the small intestine.
For CYP2D6 aficionados, who might feel slighted, grapefruit doesn’t affect CYP2D6 because the furanocoumarins only block certain enzymes like CYP3A4, which breaks down many drugs in the gut and liver. CYP2D6, on the other hand, works mostly in the liver and handles different types of drugs. Here's a short table of examples:
What is going on?
Here’s the key: the grapefruit effect is largely driven by inhibition of intestinal CYP3A4, not liver enzymes. These intestinal CYPs act as a first-pass metabolic barrier, breaking down drugs as they’re absorbed through the gut wall, before they even reach systemic circulation. When grapefruit juice blocks these enzymes, more of the drug enters the bloodstream, effectively increasing the dose without altering the pill. Oxycodone is primarily metabolized by CYP3A4, which converts it into noroxycodone, an inactive metabolite.
The result?
- Less oxycodone is metabolized during absorption
- Higher peak drug blood levels
- Longer duration of action
- Increased risk of adverse effects like sedation, respiratory depression, and overdose
- This effect can be as large as 2 to 3 times.
Hydrocodone: Similar but quite different
Hydrocodone is primarily metabolized by CYP2D6 in the liver; it is not significantly affected by intestinal CYP3A4.
So when grapefruit inhibits intestinal CYP3A4:
- The major hydrocodone CYP2D6 pathway is unaffected
- The blocked CYP3A4 route is not clinically important
- Result: minimal change in drug effect or blood levels
To put it simply, hydrocodone survives the trip through the gut while oxycodone does not.
Binding Affinity and Enzyme Efficiency: Michaelis-Menten kinetics (sorry about this)
The rate at which enzymes metabolize drugs depends on how strongly the drug binds to the enzyme and how efficiently it’s processed. This is where Michaelis-Menten kinetics, particularly the gorforsaken Km value, comes into play.
The Km (Michaelis constant) represents the substrate concentration at which the enzyme works at half its maximum speed. (It can serve as a proxy for enzyme-substrate binding affinity.) A low Km means high affinity (the enzyme binds and processes the drug efficiently). A high Km indicates low affinity (the enzyme binds poorly and works more slowly).
Here’s a table that shows how Km affects the two drugs differently:
Sources: British J. Pharm, Drug Metab Dispos
Oxycodone has a significantly higher affinity for CYP3A4 than hydrocodone does, making its metabolism far more sensitive to enzyme inhibition. Hydrocodone binds so weakly to CYP3A4 that blocking the enzyme makes little practical difference.
This is why grapefruit juice hits one drug hard and barely nudges the other.
Bottom Line
Oxycodone and hydrocodone may look chemically alike, but their metabolic behavior sets them apart. Oxycodone’s affinity for intestinal CYP3A4 makes it highly susceptible to grapefruit juice’s enzyme-blocking effects, resulting in stronger, longer-lasting drug exposure. Hydrocodone, on the other hand, is a weak CYP3A4 binder, with most of its clinical activity governed by CYP2D6 in the liver. Because grapefruit doesn’t touch that pathway, its interaction is negligible.
Drink wisely.
