Stopping the transmission of viruses like Zika and dengue is the goal of many infectious disease researchers around the world who work to develop new strategies to rid the world of these nasty diseases.
The mosquito species Aedes aegypti is the primary vector of dengue, Zika, Chikungunya and other viruses. Therefore, it is also a target for mechanisms to stop transmission. One strategy that has been developed previously is to infect these mosquitoes with a bacterial strain called Wolbachia - a bacterial strain that does not normally infect Aedes aegypti. The bacterial infection stops the viruses from leaving the mosquitoes. And, fewer viruses leaving the mosquito means less people infected.
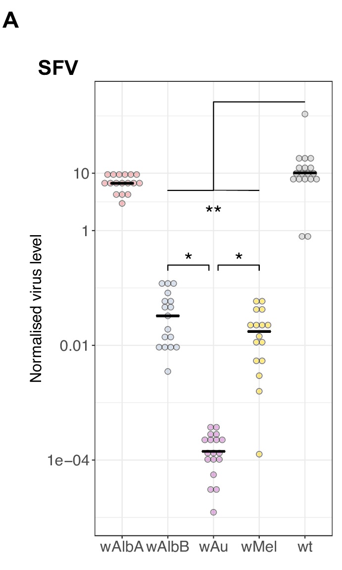
New research, published in PLOS Pathogens, shows that a newly described strain of Wolbachia, called wAu, is particularly good at blocking viral transmission from mosquitoes. This can be seen in the figure below. In this experiement, the strain wAu is being tested to see how it impacts viral transmission in and among other, previously understood, Wolbachia strains. The wAu strain, represented in pink dots, in the middle, blocks viral transmission better than any of the other strains tested. Way better.

The research also showed that this effect holds true in very warm conditions, indicating that wAu might be useful for viral control in hot climates, where these viruses have the biggest impact.
Professor Steve Sinkins, who led the work, says that, "The Wolbachia transmission blocking strategy shows great promise for the control of mosquito-borne viruses, and is now starting to be deployed on a large scale in a number of tropical countries. Our results with the wAu strain showed by far the effective transmission blocking for all the viruses we tested, and it provides an exciting new option to explore for disease control programmes."
This work gives promise for a new strategy to effectively target one of the biggest global health challenges - arboviral diseases spread by mosquitoes.
An interdisciplinary approach of both basic microbiological research and an international team of global health experts who can implement this on the ground will be required to take this work from the bench to the field. But, the results from this paper are incredibly exciting and give hope that these viral infections may be stopped in their tracks. Who knew that it would be because of a simple bacterial infection?
Source: Thomas H. Ant et al. The Wolbachia strain wAu provides highly efficient virus transmission blocking in Aedes aegypti, PLOS Pathogens (2018). DOI: 10.1371/journal.ppat.1006815
