The Comprehensive Assessment of Long-term Effects of Reducing Intake of Energy (CALERIE) study looked at the effect of a 25% reduction in caloric intake, without sacrificing essential nutrients, in healthy adults over two years. One hundred forty-three individuals were randomly assigned to calorie reduction (CR) and 75 to their usual ad libitum (AL) diet. Of the 143, 26 failed to complete the study, and as you might anticipate, calorie reduction didn’t hit that 25% mark but was closer to a mean of 12%. Both the interventional and control groups were the same, with an average age of 38 and a preponderance of white (77%) women (70%).
Biological aging was measured by blood samples taken at one and two years, in which the degree and pattern of DNA methylation (DNAm) were determined. These patterns were converted into biological aging using three DNAm clocks or algorithms. Two of these clocks “measure” aging at a given point in time, and the third clock “measures” the changing rate or pace of aging. Here is what they found.
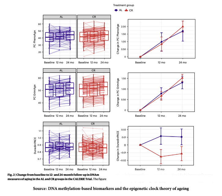
Calorie restriction had no effect on the biological age of the patients as measured by the first two DNAm clocks. But there was a reduction in the pace of aging by about two or three percent maintained over the two-year interval. To give that percentage some context, the researchers write:
“These previous studies suggest that the CALERIE treatment effect of 2–3% slower pace of aging corresponds to a reduction in mortality risk of as much as 10–15%, similar in magnitude to the effect of smoking cessation intervention.”
To be honest, in looking at those previous studies and the one on smoking cessation, I am not sure that the context is entirely true. Smoking cessation resulted in lower mortality than continued smoking for all-cause mortality. But that was over a 14-year interval, and smoking cessation was enhanced by using a placebo “inhaler” or a prescription bronchodilator. There is no placebo for calories unless, I suppose, you consider celery or lettuce.
“…even modest slowing of the pace of aging can have profound effects on population health."
The findings are intriguing and warrant further investigation. But as the researchers note, “There is no gold standard measure of biological aging.” It is doubtful that these clocks will replace many of the measures of physiologic “derangement” already in place, like blood pressure, heart rate variability, or biomarkers like cholesterol. But they may identify interventions that enhance the trajectory of our lives rather than reduce it.
DNA methylation And Epigenetic Clocks
When a methyl group attaches itself to DNA, it alters the underlying expression of our genes, “regulating the production of proteins that the gene encodes.” If our DNA provides the master recipe for our metabolic life, methylation is how much of each ingredient is used, if used at all.
The development of DNA methylation (DNAm) array technology allowed the identification of methylation patterns at different genomic locations. When these patterns were statistically correlated with varying markers of age, they provided a new measurement tool, epigenetic “age-estimators” or epigenetic clocks. While methylation patterns change over time, the patterns are quite reproducible for individuals.
Using methylation patterns and mathematical algorithms, researchers have focused on varying measures of aging, beginning with the simplest, our chronological age. But often, our biological age differs from our chronological – the spry oldster or the individual “old” for his age. To get a better handle on our biological age, researchers have considered phenotypic markers of age, like hypertension or glucose dysregulation. One advanced clock, DNAm PhenoAge, considers ten clinical characteristics involving multiple organ systems to determine biological age. [1] The model used in the current study of calorie restriction, DunedinPACE, captures the rate of change in methylation patterns over time. As Rita Rubin describes them in JAMA, DNAm PhenoAge is an odometer, DunedinPace, a speedometer.
These clocks are not without uncertainties and limitations. The greatest uncertainty is what exactly they are measuring. Are the methylations patterns driving aging or their consequence? Among the limitations
- Not all of our organs age simultaneously, and cells age at varying rates. Similarly, DNA methylation changes impact only a small fraction of our DNA. “To be precise, the average difference of methylation between DNA from people aged <35 years and those >55 years old is 0.032 (3.2%).”
- The impact of methylation on specific genes may have only a limited effect. Those effects may be downstream with genes that interact with the methylated ones.
- Short-term lifestyle interventions, like the ones studied in this case, may have only a limited impact on the clocks. And anti-aging effects may impact cells or tissue not considered by the epigenetic clocks
- As with all statistical measures, individual findings are not always transferable to general populations and vice versa. As one author wrote, we might identify the areas gaining methylation as a result of obesity, but it does not tell us “… whether obesity accelerates aging.”
[1] Ten clinical characteristics: chronological age, albumin, creatinine, glucose, and C-reactive protein levels, lymphocyte percentage, mean cell volume, red blood cell distribution width, alkaline phosphatase, and white blood cell count
Sources: Effect of long-term caloric restriction on DNA methylation measures of biological aging in healthy adults from the CALERIE trial Nature Aging DOI: 10.1038/s43587-022-00357-y
DNA methylation-based biomarkers and the epigenetic clock theory of ageing Nature Reviews genetics DOI: DOI:10.1038/s41576-018-0004-3
DunedinPACE, a DNA methylation biomarker of the pace of aging e-Life DOI: 10.7554/eLife.73420
Cut Calories, Lengthen Life Span? Randomized Trial Uncovers Evidence That Calorie Restriction Might Slow Aging, but Questions Remain JAMA DOI: 10.1001/jama.2023.2437

