Big Pharma Tames Liver Cancer And Drunks Set It Loose Again

By Josh Bloom — Jul 25, 2018
After two decades of very tough research, Big Bad Pharma finally came up with a cure for hepatitis C – a viral liver infection that causes cirrhosis and liver cancer. So, are liver cancer rates dropping? No. That's because young Americans are drinking so much that they are destroying their livers. 

After two decades of very tough research, Big Bad Pharma finally came up with a cure for hepatitis C – a viral liver infection that causes cirrhosis and liver cancer. So, are liver cancer rates dropping? No. That's because young Americans are drinking so much that they are destroying their livers. 

Call It What It Is: Health Insurers Use Your Data To Discriminate Against You

By Jamie Wells, M.D. — Jul 25, 2018
Given that insurers use backdoor access to your data (and the law has been unable to keep up, to prevent it), you may want to pay cash before you purchase your next bag of chips or condoms. And you ought to think twice when completing forms seeking demographic data on your race, or when you make a formal name change.

Given that insurers use backdoor access to your data (and the law has been unable to keep up, to prevent it), you may want to pay cash before you purchase your next bag of chips or condoms. And you ought to think twice when completing forms seeking demographic data on your race, or when you make a formal name change.

Despite Scorching Heat, Success That U.S. Deaths Are Relatively Low

By Erik Lief — Jul 25, 2018
Despite staggering temperatures mostly in the Southwestern U.S., we're doing a relatively good job of guarding our safety, which includes using air-conditioning whenever possible. And while AC is more accessible in this country because energy is relatively cheap and affordable, it appears a connection can be made linking this safety to low-cost natural gas.

Despite staggering temperatures mostly in the Southwestern U.S., we're doing a relatively good job of guarding our safety, which includes using air-conditioning whenever possible. And while AC is more accessible in this country because energy is relatively cheap and affordable, it appears a connection can be made linking this safety to low-cost natural gas.

CRISPR Is To GMO As A Lightswitch Is To Changing A Filament. European Judges Want To Go Back To Kerosene

By Hank Campbell — Jul 25, 2018
Europeans, who overwhelmingly claim to accept the science consensus on climate change, deny a far stronger consensus on biotechnology and believe GMOs are a crime against nature because a gene has been precisely modified by scientists.

Europeans, who overwhelmingly claim to accept the science consensus on climate change, deny a far stronger consensus on biotechnology and believe GMOs are a crime against nature because a gene has been precisely modified by scientists.

Disparities In The Funding Of Science

By Chuck Dinerstein, MD, MBA — Jul 25, 2018
Funding science through the National Institute of Health is a highly competitive process. It is also highly skewed towards those who have been "successful" in the past. But does past performance predict future performance?

Funding science through the National Institute of Health is a highly competitive process. It is also highly skewed towards those who have been "successful" in the past. But does past performance predict future performance?

Continuous Glucose Monitoring Changes Diagnosis and Treatment of Diabetes

By Chuck Dinerstein, MD, MBA — Jul 24, 2018
Monitors that continuously measure glucose levels have been recently approved for clinical use by the FDA. They are making patients' lives better, and they may provide us with a new way to better understand the dysregulation of glucose metabolism.

Monitors that continuously measure glucose levels have been recently approved for clinical use by the FDA. They are making patients' lives better, and they may provide us with a new way to better understand the dysregulation of glucose metabolism.

5 Myths About Older Workers, Debunked

By ACSH Staff — Jul 24, 2018
From the supposed need to take more time off, to accusations of being less productive on the job, there are plenty of falsehoods surrounding workers over the age of 50. Let's take a look at these dubious claims – and put them to bed once and for all.

From the supposed need to take more time off, to accusations of being less productive on the job, there are plenty of falsehoods surrounding workers over the age of 50. Let's take a look at these dubious claims – and put them to bed once and for all.

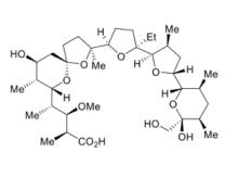
In Making Some Antibiotics, Bacteria Put Organic Chemists To Shame

By Josh Bloom — Jul 23, 2018
Plants, marine organisms and bacteria have the capacity to biosynthesize extraordinarily complex organic molecules. Those are the ones that drive chemists nuts when they try to make them synthetically. Here's the story of monensin, an antibiotic used in livestock. While it's a monumental effort to make it in the lab, bacteria can make it in their sleep. 

Plants, marine organisms and bacteria have the capacity to biosynthesize extraordinarily complex organic molecules. Those are the ones that drive chemists nuts when they try to make them synthetically. Here's the story of monensin, an antibiotic used in livestock. While it's a monumental effort to make it in the lab, bacteria can make it in their sleep. 

'Let Me Listen to Me and Not to Them'

By Chuck Dinerstein, MD, MBA — Jul 23, 2018
Physicians, on average, interrupt their patients within the first 11 seconds of their visit. They do so when patients are discussing their "agendas." Is this bad manners or bad medicine?

Physicians, on average, interrupt their patients within the first 11 seconds of their visit. They do so when patients are discussing their "agendas." Is this bad manners or bad medicine?

Is It Checkmate For Pharma's Epic Gaming Of Patents?

By Jamie Wells, M.D. — Jul 23, 2018
The U.S. Court of Appeals just delivered another blow to a rather-clever-but-cunning play by Allergan, the pharmaceutical giant, to game the patent system.

The U.S. Court of Appeals just delivered another blow to a rather-clever-but-cunning play by Allergan, the pharmaceutical giant, to game the patent system.